
Retroscena
UHD, 4K e 8K: il vero significato della trasmissione dati
di Luca Fontana
Come si calcola la distanza ideale tra i sedili? Una domanda semplice con mille risposte che dipendono da chi la pone. Questo mi fa pensare. Chi lo stabilisce e in base a cosa?
Se una domanda semplice ha una risposta complicata, è la ricerca della distanza di seduta ideale.
Questa domanda deve essere iniziata negli anni '30, quando i televisori hanno iniziato a conquistare il mondo. Immagino sempre qualcuno che chiede a che distanza deve sedersi dal televisore. Qualcuno deve aver stabilito come calcolare la distanza ideale per una visione ottimale, basandosi su una serie di dati, come il polso per pi greco.
Sono passati molti decenni dai primi giorni della televisione. La tecnologia delle immagini si è sviluppata in modo massiccio, soprattutto negli ultimi dieci anni. Attualmente si stanno diffondendo i televisori Ultra HD, ma i televisori 8K/UHD 2 sono in agguato all'orizzonte. La questione della distanza ideale di visione è diventata più attuale e complessa che mai. E richiede una risposta.
Ma la verità è che si tratta di una scienza - o piuttosto di una religione - a sé stante.
Nella mia ricerca del dio guru della TV che mi dica dove sedermi davanti alla televisione, mi imbatto subito nella distanza minima tra i sedili. Questa non è la stessa cosa della distanza ottimale dei posti a sedere.
La distanza minima di visione indica quanto vicino puoi sederti al televisore senza riuscire a distinguere i singoli pixel l'uno dall'altro. I pixel sono diodi ad emissione luminosa che generano l'immagine televisiva. La distanza ideale di visione dipende da due fattori:
La densità di pixel indica quanti pixel ci sono sulla linea di un pollice, nota anche come punti per pollice (ppi). Più alta è la densità, più difficile è per l'occhio distinguere i pixel l'uno dall'altro.
La risoluzione, invece, descrive la misura in cui l'occhio umano è in grado di distinguere le strutture più sottili le une dalle altre. O più semplicemente: a che punto la distanza tra due pixel è così piccola che l'occhio non riesce più a distinguerli e vede un singolo pixel?
Tutta questa teoria porta a tre formule:
La distanza minima di seduta si calcola utilizzando la dimensione di un pollice in millimetri - cioè 25,4 mm - la densità di pixel e il dot pitch minimo. L'ho calcolata prendendo come esempio un televisore UHD da 65 pollici. Per farlo, ho dovuto prima calcolare la densità di pixel. Per la densità di pixel, ho avuto bisogno della larghezza dell'immagine in pollici (vedi le formule precedenti).
Si può notare che la distanza minima di visione per un televisore UHD da 65 pollici è di 1,25 metri. Ciò significa che a partire da questa distanza inizi a percepire i singoli pixel come tali e quindi non dovresti mai sederti più vicino al televisore. Almeno in teoria. In pratica, questo può variare da persona a persona, a seconda dell'acutezza visiva.
Tuttavia, è probabile che solo pochissime persone si siedano così vicino allo schermo. Pertanto, la distanza minima dei posti a sedere non coincide con la distanza ideale dei posti a sedere.
Che cos'è esattamente la distanza ideale tra i sedili? A differenza della distanza minima tra i sedili, è la distanza dalla TV che ti permette di vivere al meglio l'esperienza cinematografica: Più il tuo campo visivo è coperto dalla TV, meglio è. Per inciso, il campo visivo binoculare di un adulto è di circa 214 gradi.
D'altra parte, non sederti troppo vicino: Non vorrai avere una torsione del collo ogni volta che la palla di feltro sfreccia avanti e indietro tra i due bordi dell'immagine. In altre parole: Sì, il più vicino possibile, ma solo fino al punto in cui ha senso.
Ma dov'è questo punto?
Ma dov'è questo punto?
Lo spettatore di fronte alla TV forma il vertice di un triangolo isoscele. Due linee rette collegano la sua testa e i bordi della TV. Più vicino è il televisore, più ampio è il triangolo e maggiore è l'angolo di visione. Il collegamento diretto tra lo spettatore e il televisore è la distanza di seduta.
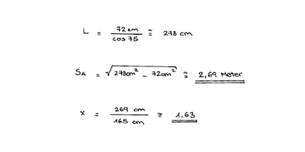
Nel settore, una distanza di seduta in cui un televisore Ultra HD riempie circa 30 gradi del campo visivo è considerata ideale. Ho capito come passare da quest'angolo alla distanza ideale tra i sedili.
Formule:
Calcolo:
Il fattore x è il valore per il quale puoi moltiplicare la diagonale dello schermo in cm del tuo televisore per ottenere la distanza di seduta ideale. Il calcolo con il fattore è molto più semplice e ti risparmia tutti i calcoli di cui sopra. Ecco perché ti ho elencato i fattori qui sotto.
Perché SMPTE e THX non distinguono tra Full HD e Ultra HD è un mistero per me. Finora non ho ricevuto alcuna dichiarazione da parte loro sull'argomento. Forse tu ne sai di più. La mia ipotesi è che siano vicini all'industria cinematografica: poiché il 4K non è ancora molto diffuso, per il momento non hanno ritenuto necessario definire uno standard ufficiale per l'home cinema, ovvero l'UHD. Oppure stanno deliberatamente ignorando il punto.
Nella mia ricerca del dio guru della TV, ho trovato l'unica formula d'oro che mi dice a che distanza sedermi dalla mia televisione?
No, non proprio.
Quello che questi ultimi spesso non capiscono è la distanza di visione ideale.
Questo è talmente complesso che persino biologi, fisici e ingegneri non sono d'accordo su come calcolare correttamente cose come la risoluzione dell'occhio. Inoltre, noi esseri umani siamo diversi e non vediamo (bene) tutti allo stesso modo. In queste condizioni, come può essere possibile una formula universale per la distanza ideale tra i sedili?
La risposta: è impossibile. La verità universale - se esiste - è sempre diversa a seconda dell'esperto a cui la si chiede. È un po' come trasformare la scienza in religione. Formule come quella sopra riportata possono quindi essere utilizzate al massimo per ricavare delle linee guida, ma mai delle regole universalmente valide e valide per tutti. <p
Scrivo di tecnologia come se fosse cinema – e di cinema come se fosse la vita reale. Tra bit e blockbuster, cerco le storie che sanno emozionare, non solo far cliccare. E sì – a volte ascolto le colonne sonore più forte di quanto dovrei.
Curiosità dal mondo dei prodotti, uno sguardo dietro le quinte dei produttori e ritratti di persone interessanti.
Visualizza tuttiUn esempio: la risoluzione di un televisore UHD è di 3840×2160 pixel, quindi il numero totale di pixel è di 8.294.400 pixel (3840 x 2160). Per riempire l'area dello schermo di un televisore da 65 pollici, i pixel devono essere più grandi di quelli di un televisore più piccolo da 55 pollici. Ciò significa che il televisore più grande ha meno pixel per pollice. Ergo: la densità di pixel del televisore da 65 pollici è inferiore a quella del televisore da 55 pollici.

Nella discussione sulla risoluzione, Hans Kiening, un ingegnere di tecnologia cinematografica, ha pubblicato una dissertazione in cui afferma che il passo minimo dei punti tra due pixel infinitamente piccoli ma luminosi deve essere di almeno 0,3 mm a un metro di distanza da seduti per poter essere ancora percepito come tale dall'occhio (pagina 28 del PDF linkato sopra).



Il settore non è ancora riuscito a trovare un accordo su un unico metodo di calcolo standardizzato. A seconda di chi chiedi, riceverai raccomandazioni diverse. I più comunemente citati sono quelli dei rivenditori - informazioni che le piattaforme di vendita come digitec ricevono dai produttori -, quelli della Society of Motion Picture and Television Engineers - SMPTE in breve - e quelli di THX. Ciò che hanno in comune è che la distanza è specificata in gradi angolari (angolo di visione). Sia SMPTE che THX non fanno distinzione tra Full HD e Ultra HD nei loro standard.




| Blickwinkel Full HD | Faktor Full HD | Blickwinkel Ultra HD | Faktor Ultra HD | |
|---|---|---|---|---|
| Handel | 20 Grad | 2.5 | 30 Grad | 1.63 |
| SMPTE | 30 Grad | 1.63 | 30 Grad | 1.63 |
| THX | 40 Grad | 1.2 | 40 Grad | 1.2 |
No, non proprio. Ma mi sono avvicinato un po' di più alla verità. Ora so che la distanza minima di visione - la distanza alla quale i singoli pixel diventano visibili all'occhio - non coincide con la distanza ideale di visione percepita soggettivamente: solo perché potrei sedermi a un metro di distanza dalla mia TV UHD senza riuscire a distinguere i singoli pixel l'uno dall'altro, non significa che dovrei farlo. Una cosa che ad alcuni consulenti sfugge.
Quello che questi ultimi spesso dimenticano è che stiamo parlando di una scienza nella gamma dei micro e macrometri, di onde luminose e di distanze in minuti d'arco: L'occhio umano ha tra i 100 e i 130 milioni di recettori, che determinano la risoluzione dell'ambiente. I recettori si dividono in barre - per la visione crepuscolare e notturna - e cones, che, come i subpixel di un pixel, sono responsabili della percezione dei colori blu, verde e rosso.